El ataque más raro de Pokémon es un examen de Matemáticas

El ataque más raro de Pokémon es un examen de Matemáticas

Apuesto todos mis ahorros a que conoces Poder Oculto, pero lo más probable es que no tengas claro qué es lo que hace.

2 comentarios Facebook Twitter Flipboard E-mail
Pokemon Problemas Matematicas
jose-a-mateo-albuerne

José A. Mateo Albuerne

Jefe de Actualidad
jose-a-mateo-albuerne

José A. Mateo Albuerne

Jefe de Actualidad

Pocos casos hay en el planeta como los videojuegos basados en Pokémon. Lo digo porque quizás tenga la mayor cantidad de fans, y a la vez cuenta con una auténtica barbaridad de mecánicas ocultas o poco conocidas por el común de los mortales. Tanto es así que hoy vamos a destapar los entresijos de uno de los ataques más obscuros de la saga.

No sorprenderé a nadie si digo que Poder Oculto es un ataque que casi todo fan de la saga principal de Pokémon conoce, eso sí me juego un potosí a que pocos jugadores lo habrán usado más de un par de veces. Es posible que esto sea porque se trata de un ataque que hace poco daño, y característico de los Unown, los pokémon letra que todos capturamos pero que nadie usa. Pero lo cierto es que hay mucho más de este ataque.

Poder Oculto ya no está disponible a partir de la octava generación, Espada y Escudo, por lo que ya no apareció en los recientes Escarlata y Púrpura. Pero ya incluso antes de ser relegado a la ignominia, tuvo cambios importantes casi con cada nueva entrega de la saga principal Pokémon.

¿Dónde está su secreto?

Este movimiento cuenta con la siguiente descripción: "Movimiento peculiar que cambia el tipo y el poder según los genes del Pokémon que lo usa". Esto tampoco es que diga demasiado, así que vamos a echar un vistazo a sus estadísticas de potencia, precisión y PP a ver si encontramos su mecánica.

Ataque

Potencia

Precisión

PP

Poder Oculto

30-70 hasta 6º generación cuando pasa a ser 60

100

15

Quien haya usado Poder Oculto en alguna ocasión, sabrá que es un ataque que puede hacer uso de un tipo distinto al de nuestro Pokémon. Alguna gente puede pensar que se trata de algo completamente aleatorio... Pero nada más lejos de la realidad

Unknown 2

Una fórmula tiene la respuesta

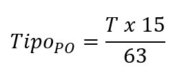
Poder Oculto, como muchas otras mecánicas propias de los videojuegos de la saga Pokémon, responde a una ecuación matemática con variables y constantes completamente definidas. No hace falta ser un pitagorín para ver que no se trata del golpe más potente del mundo, pero sí uno muy especial.

Formula Pokémon

Esta fórmula matemática es la que hace que Poder Oculto pueda hacer uso de los diferentes tipos de Pokémon. Bueno, no todos porque el Normal no entra en el cálculo, y el tipo Hada no fue usado. El único término especial es la "T", que representa los IVs del Pokémon que use el ataque. Os recuerdo que IVs (Indvidual Values) son algo así como los números que definen la genética del monstruo de bolsillo.

T, por tanto, es igual a la suma de un total de seis factores, dependientes del valor de estos números que determinan "la genética" de cada una de las seis estadísticas básicas de un Pokémon: PS, ataque, defensa, velocidad, ataque especial y defensa especial.

  • Con IV de PS par, se suma 0, si es impar se suma 1.
  • Con IV de ataque par, se suma 0, si es impar se suma 2.
  • Con IV de defensa par, se suma 0, si es impar se suma 4.
  • Con IV de velocidad par, se suma 0, si es impar se suma 8.
  • Con IV de ataque especial par, se suma 0, si es impar se suma 16.
  • Con IV de defensa especial par, se suma 0, si es impar se suma 32.

Si echáis cuentas, T tiene estar comprendido entre 0 y 63. Este dato se introduce en la fórmula de arriba, lo que nos dará un número entre 0 y 15, pero con la posibilidad de encontrar resultados con decimales. Eso no es un problema porque ha de redondearse al número entero más cercano y usar la tabla para determinar el tipo del golpe.

La fórmula nos lleva a una tabla

número

tipo

0

Lucha

1

Volador

2

Veneno

3

Tierra

4

Roca

5

Bicho

6

Fantasma

7

Acero

8

Fuego

9

Agua

10

Planta

11

Eléctrico

12

Psíquico

13

Hielo

14

Dragón

15

Siniestro

Sólo hay que usar los IVs del Pokémon concreto para calcular el tipo del ataque Poder Oculto. En algún caso muy concreto es posible ver a jugadores que hacen auténticos malabares para conseguir un ataque de un tipo concreto, pero es algo reservado a quienes juegan Pokémon a nivel competitivo y que ha quedado anticuado después de la teracristalización introducida en Escarlata y Púrpura.

Para el resto de los jugadores de esta saga, así como para los curiosos, basta con que sepáis que hay una razón matemática para que tu Charizard tenga la posibilidad de hacer un ataque de tipo Planta.

En 3DJuegos | Cómo derrotar a Giovanni en Pokémon GO: equipo y mejores counters para cada fase

En 3DJuegos | Nintendo eShop - Cómo aprovechar mejor su buscador para encontrar las mejores ofertas y juegos al momento

En 3DJuegos | 3 Pokémon para derrotar a Decidueye en las Teraincursiones de 7 estrellas de Pokémon Escarlata y Púrpura

Comentarios cerrados
VÍDEO ESPECIAL

1.735 visualizaciones

Estos han sido los MEJORES JUEGOS del AÑO - RESUMEN de la gala PREMIOS 3DJUEGOS LENOVO 2025

Otro año más 3DJuegos ha celebrado la entrega de premios a los mejores juegos de 2025.Una gala llena de referentes como Sandfall Interactive, las mentes tras Clair Obscure: Expedition 33; la streamer Abby; Christian Gálvez o nuestro premio 3DJuegos Legado, Charles Cecil, desar...